CHEN Hongsonga,1,*, LI Xia, LIU Shoulonga, XU Xianlia
a. Institute of Subtropical Agriculture, Chinese Academy of Sciences, Hunan 410125, China
Abstract:
High-quality agricultural development in China’s subtropical region is critical for national food security and ecological sustainability. This region encompasses 16 provinces covering approximately one-quarter of China’s land area and home to nearly half its population. Characterized by abundant hydrothermal resources with synchronous heat and precipitation, it serves as a traditional agricultural hub contributing 40% of grain output and over 54% of meat production of the nation. However, the region faces mounting pressures: Underutilized potential in hilly and mountainous areas, disconnected crop-livestock systems leading to resource inefficiency and pollution, and insufficient systematic research on regional agricultural development. Addressing these challenges requires an innovative agroecological framework oriented toward the “Big Food Concept,” integrating efficient resource utilization with ecological conservation. This paper examines the characteristics, challenges, and pathways for sustainable agricultural transformation in China’s subtropical region, proposing strategies for optimizing agricultural layout, promoting crop-livestock integration, and strengthening scientific innovation platforms to build a “southern defense line” for national food security.
Keywords:
subtropical region, high-quality development, smart agriculture, big food concept, food security
Cite this article as:
CHEN Hongsong, LI Xi, LIU Shoulong, and XU Xianli. (2025) High-quality Agricultural Development in Chinese Subtropical Region: Challenges and Strategies. Bulletin of the Chinese Academy of Sciences, 39, 2025006. DOI: https://doi.org/10.1051/bcas/2025006
China’s subtropical region stands at a critical juncture in the nation’s agricultural transformation. As climate change intensifies resource constraints in northern grain-producing areas and the “North-to-South Grain Transportation” pattern proves increasingly unsustainable, this region’s role in ensuring food security has never been more vital. Understanding the unique characteristics and challenges of subtropical agriculture is essential for developing effective strategies that balance productivity with ecological sustainability.
The subtropical zone generally encompasses areas between 23.5° and 40° latitude in both hemispheres (Figure 1a). Globally, subtropical regions exhibit three main climatic patterns: Mediterranean climates with asynchronous heat and precipitation, inland semi-arid climates dominated by grasslands, and monsoon climates characterized by synchronous heat and abundant rainfall that favor intensive agriculture.
This paper examines the current state and prospects of agricultural development in China’s subtropical region. We analyze the region’s distinctive characteristics, identify major resource and environmental bottlenecks, and propose strategic countermeasures for achieving high-quality agricultural development in this region.

Figure 1. Subtropical regions of the world (a) and China (b).2
1. The Characteristics of Agriculture in the Chinese Subtropical Region
China’s subtropical region (25–35° N, east of 98° E) encompasses the areas to the south of the Qinling Mountains – Huaihe River line, east of the Qingzang Plateau, and north of the tropical monsoon climate region (Figure 1b). Covering 16 provinces and autonomous regions (including Taiwan Province) with a geographical area of approximately 2.4 million square kilometers, this region accounts for about 25% of China’s total land area while housing nearly 50% of the national population.
1.1 Unique Climatic Advantages
The Chinese subtropical region possesses a unique climate for its latitude. Unlike typical subtropical zones dominated by high-pressure systems and aridity, the thermal contrast between land and sea combined with the unique atmospheric circulation pattern resulting from the uplift of the Qingzang Plateau, transforming what would be an arid zone under subtropical high pressure into a humid subtropical monsoon climate. This distinctive climate is characterized by synchronous heat and precipitation—a critical advantage for agricultural production.
The region enjoys annual average temperatures ranging from 13℃ to 20℃ and precipitation between 800 mm and 1600 mm, resulting in a reservoir accounting for 56% of China’s total water resources. These abundant solar, thermal, and water resources with synchronous heat and precipitation create excellent conditions for cultivating diverse crops in this subtropical region.
1.2 Diverse Topographic Features
The region’s topography is mainly composed of hills and low mountains (Figure 2). Within relatively small areas, various land-use types—including farmland, orchards, forested grasslands, and water bodies—often coexist, creating a complex and diverse landscape conducive to multifunctional agriculture. The region also contains the Middle-Lower Yangtze Plain, an important area for grain and freshwater fishery production. This diversity in land types and species resources enables both regional differentiation in agricultural development and multiple development pathways, making it an ideal region for implementing new development concepts, practicing the “Big Food Concept,” and promoting agricultural modernization of Chinese characteristics.

Figure 2. Types of topography and landforms in the subtropical region of China in 2023.3
1.3 Agricultural Production Significance
The region holds a highly advantageous position in China’s agricultural production. Among the six provinces (Shanxi, Anhui, Jiangxi, Henan, Hubei and Hunan) enlisted in the Rise of Central China Plan, five are located in the subtropical region. Of the 13 major grain-producing areas (Heilongjiang, Jilin, Inner Mongolia, Hebei, Shandong, Sichuan, Anhui, Henan, Hubei, Hunan, Jiangxi, Sichuan and Jiangsu), seven are situated within this climate region.
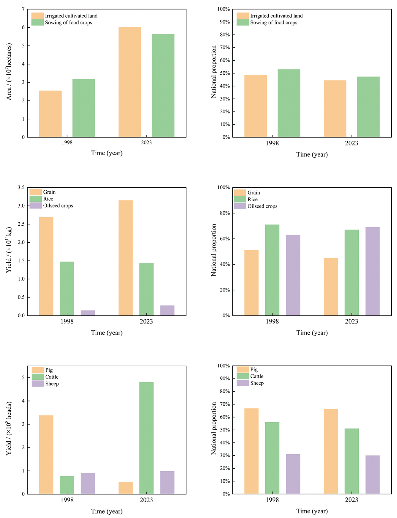
Historically renowned for the saying “When Huguang (ancient term for Hunan and Hubei provinces) harvests, the nation is fed,” this region has long served as China’s breadbasket. However, since the 1990s, the production capacity has shown a downward trend despite the region’s substantial agricultural foundation. In this region, cultivated land accounts for 37.5% of the national total, with sown area and grain output constituting about 40% of the national total in 2023. Rice production decreased from 147 billion kilograms in 1998 to 142 billion kilograms in 2023, with its share in the national total dropping from 72% to 67%. The numbers of pigs, cattle, and sheep in stock account for over 54% of the national total, with the number of pigs maintaining a relatively stable share (around 66.79% in 1998, and 66.25% in 2023). Notably, oilseed crops production has increased from 13.8 billion kilograms in 1998 to 27.3 billion kilograms by 2023, and its proportion in the national total has risen from 63% in 1998 to 69% by 2023 (Figure 3). The region also serves as a major production area for vegetables, tea and freshwater products, playing a crucial role in ensuring the national food security.

Figure 3. Proportion of resources and agricultural products in the subtropical region of China.4
2. Demand and Mission for High-quality Agricultural Development in the Chinese Subtropical Region
Due to the prominent tension between population density and limited resources, the demand for a transition to high-quality agricultural development in Chinese subtropical region is particularly urgent. Since the 1990s, the “North-to-South Grain Transportation” pattern has been established in China to address the growing grain shortages in economically developed southern provinces. Food production requires a large amount of water. The “North-to-South Grain Transportation” represents the virtual water being transferred from the north to the south, resulting in a contradiction between the “North-to-South Grain Transportation” and the “South-to-North Water Diversion”.
More importantly, the implementation of national strategies such as the development of the Yangtze River Economic Belt in the subtropical region, the construction of the Guangdong–Hong Kong–Macao Greater Bay Area, and the integration of the Yangtze River Delta has led to a rapid improvement in people’s living standards. People have a greater demand for high-quality, distinctive agricultural products and beautiful ecological environments. Overall, the subtropical region has urgent demands for food security, agricultural structural reform on the supply side, and the coordinated development of agriculture and the environment. Future high-quality agricultural development should focus on these aspects, and efforts should be made to increase investments in agricultural scientific and technological innovation. Investment and policy measures should encourage a transformation towards high-quality green development.
In recent years, the country has paid great attention to agricultural development and food security in the subtropical region. In 2024, during an investigation in Hunan, President XI Jinping emphasized the need to “shoulder the responsibility of ensuring food security, adhere to the concepts of “Big Agriculture’” and “Big Food”, and actively develop specialized agriculture.” The symposium on further energizing the central region held in the same year further emphasized the importance of joint promotion of ecological protection and green development, as well as advancing the construction of high-quality grain production areas. Furthermore, in 2025, President XI Jinping conducted an inspection in Henan Province and proposed: “We should strengthen the protection and construction of farmland, shoulder the responsibility for food security, extend the modern agricultural industrial chain, and promote the comprehensive revitalization of rural areas through integrated urban-rural development, in order to achieve common prosperity for both urban and rural areas.” While ensuring food security, the country has set high standards for the green transformation of subtropical agriculture. Priorities include strengthening food security, advancing agricultural upgrading through innovation, and promoting comprehensive rural revitalization, with an emphasis on high-quality green development.
3. Major Resources and Environmental Challenges Faced by Agricultural Development in the Chinese Subtropical Region
The main bottlenecks facing the high-quality development of Chinese subtropical agriculture include:
(1) The potential for agricultural development in hilly and mountainous areas has not been fully exploited, and the production capacity of high-quality regional agricultural products is unable to meet the demands of the supply-side structural reform.
The subtropical hilly and mountainous areas in China cover an area of nearly 2 million square kilometers. They are home to hundreds of different types of crops such as grains, fruits, vegetables, tea, and oil tea, and make an important source for ensuring grain production and food security. However, due to the shortage of rural labor and the low level of agricultural mechanization, the potential for increasing food production and improving efficiency have been constrained. According to statistics, the area of rice cultivation in southern China decreased from 456 million mu (~30 million hectares) in 1990 to 318 million mu (~21 million hectares) in 2023, a reduction of 30%. In 2021 and 2022, the farmland in the south experienced winter idle sessions over 100 days and 120 days, respectively, covering approximately 260 million mu (~17 million hectares) and 210 million mu (~14 million hectares), respectively.
It is predicted that by 2035 and 2050, the demand for livestock products by Chinese consumers will increase by 32% and 51% respectively, compared to 2019. Given that China needs to import grains like corn, soybean meal and even forage grass in large quantities, it would be a viable alternative to fully utilize the grasslands and slopes, as well as the winter-idle farmland in the subtropical regions to develop southern grass-fed animal husbandry. According to statistics, the area of available grasslands in southern China is approximately 700 million mu (~47 million hectares), mainly distributed in hills, mountains and plateaus. These grasslands are in favorable water and heat conditions, of strong biological regeneration capacity, and give high grass yields. If one-third of these grasslands are developed for foraging and livestock rising, 70 billion kilograms of high-quality forage can be produced annually, equivalent to saving 15 billion kilograms of feed grains.
(2) The decentralized operation-oriented agriculture and the large-scale operation-oriented livestock industry are seriously out of sync. Meanwhile, the efficiency of agricultural resource utilization is low, production costs are high, and pollution problems are prominent.
In the Chinese subtropical region, pork production accounts for approximately 66% of the national total. However, the feed, mainly composed of corn and soybean meal, is sourced primarily from imports or other domestic regions. Moreover, resources such as crop straw and by-products from agricultural processing have not been fully utilized. For example, the annual average collection volume of straw in Hunan Province is over 30 billion kilograms. In terms of crude protein content, it is equivalent to approximately 10 billion kilograms of corn. However, the utilization rate for feed is less than 20%. Due to topographic constraints, the region’s agriculture, characterized by individual household operations, is severely disconnected from the livestock and poultry industry that is dominated by intensive farming. This has led to a low recycling rate of agricultural resources. At the same time, the discharge of livestock and poultry wastes account for 57% of the national total, causing severe agricultural non-point source pollution. Statistics indicate that over 70% of agricultural parks nationwide engage in monoculture or single-livestock breeding. The “last mile” problem in manure recycling urgently needs addressing. In subtropical regions, large-scale pig farming accounts for over 60% of production, yet approximately 20% of manure remains unused and becomes a major pollution source instead of valuable fertilizer.
(3) There is a lack of systematic research on high-quality development of regional agriculture. The layout of national-level research platforms is uneven, and the integrated scientific support is insufficient.
High-quality modern agricultural development relies on technological progress to increase production and efficiency. The rising capacity of grain production in northern China over the past 40 years is closely related to national-level initiatives like the “Science and Technology Campaign in the Yellow-Huai-Hai Region” and the “Black Soil Granary” campaign. In the Chinese subtropical region, problems persist, including insufficient agricultural technological innovation, inadequate investment, a lack of service platforms, and a low rate of technological achievement transformation. These issues prevent the formation of a modern agricultural production structure and regional layout that matches market demands and environmental carrying capacity. This hinders the region’s agricultural transformation towards a coordinated mechanism that balances high-quality production, ecological conservation, and efficient resource utilization.
At present, agricultural research institutions in the subtropical region focus mainly on single aspects such as soil fertility improvement, genetic breeding, and crop-livestock cultivation techniques. There is a lack of comprehensive research on the agricultural ecological system at the regional scale that covering the full process from soil, crop/poultry to the environment.
Based on the above needs and the mission for high-quality agricultural development in subtropical regions, the 4th International Conference on Sustainable Agricultural Development in Subtropical Regions was held on June 22 and 23, 2024, under the theme “Ecosystem Management and Green Agricultural Development” (Figure 4). The conference featured discussions across four key areas: Efficient management of ecosystems and agricultural production, environmental regulation and green production in agriculture, green livestock farming and agro-pastoral integration, and big data and smart agriculture. These discussions advanced the coordinated development of agriculture and ecological environment, promoting high-quality agricultural and rural development through high-level environmental protection, and collectively exploring pathways for sustainable agriculture in China’s subtropical region.

Figure 4. The 4th International Symposium on Ecosystem Management and Agriculture Green Development in Subtropical Regions.
On October 15 and 16, 2025, the 796th Xiangshan Science Conference was organized (Figure 5). This conference focused on core scientific and technological issues regarding high-quality development of Chinese subtropical agriculture. The discussions covered three main themes: Efficient utilization of agricultural resources and environmental protection, integration of agricultural production with ecological development and green low-carbon development, and agricultural big data and smart agriculture. Important constructive suggestions were obtained in key areas such as soil, cultivated land, and breeding.

Figure 5. The 796th Xiangshan Science Conference on Key Scientific and Technological Issues for High-quality development of Agriculture in Subtropical Region.
4. Countermeasures and Suggestions for High-quality Development of Agriculture in the Subtropical Region of China
Due to water resource constraints, environmental pressures, and climate instability, the potential for grain production in the northern China is limited, making the “North-to-South Grain Transportation” unsustainable. Southern provinces have a relatively larger environmental capacity and higher ability to support agricultural production. Transferring agricultural production activities from north to south is an effective way to ensure dual guarantees of diversified food supply and resource-environment security. Establishing a “Big Food Concept,” with emphasis on the rational and sustainable utilization of natural resources, is crucial for addressing resource constraints and achieving food security. Therefore, the following suggestions are proposed:
(1) Reconstruct the agricultural development layout, and strengthen regional coordination
It is necessary to strengthen overall planning at the national level and restructure the agricultural development layout based on the “Big Food Concept.” This involves improving the agroecological compensation mechanism, optimizing the functions and layout of agricultural entities, and implementing targeted policies based on local conditions to promote coordinated development. To make full use of the water and thermal resources in the subtropical region, the agricultural production structure and crop layout should be optimized to ensure a stable and safe supply of grain and important agricultural products. Simultaneously, internal and external coordination should be enhanced to promote the integration of primary, secondary, and tertiary industries and extend the agricultural value chain. Furthermore, a modern industrial system integrating grain, forestry, animal husbandry, and fishery should be formed to facilitate comprehensive rural revitalization and coordinated regional development.
(2) Promote the integrated development of planting, breeding and processing, and strengthen the efficient utilization of agricultural resources and the synergy of carbon reduction and pollution reduction
Firstly, unconventional feed resources such as early rice grains and agricultural by-products should be fully explored, and land resources such as grasslands, slopes, medium and low-yield farmlands, and winter idle fields rationally utilized. Secondly, the policy status of feed safety should be elevated. Additionally, a rational layout and scale for agricultural and livestock production must be established to significantly increase the utilization of straw and manure, scientifically utilize grasslands and idle land, and develop multi-functional agriculture. Ecological high-value agriculture based on crop-livestock integrated farming will enhance agricultural industrialization. Finally, comprehensive agricultural efficiency and competitiveness must be enhanced to achieve coordinated pollution control and resource utilization.
(3) Improve the agricultural science and technology innovation platform and strengthen the innovation and support capabilities
Firstly, the allocation of agricultural science and technology resources should be optimized and innovation platforms improved. This will help establish a coordinated mechanism for national strategic scientific forces with rational positioning and complementary advantages. Simultaneously, the agricultural technology promotion system needs optimization to foster deep integration of government, industry, academia, and research. This will accelerate the transformation of technological achievements. Secondly, we should fully leverage the existing research layout and advantages of national research institutions in major grain-producing areas. Joint research efforts involving multiple departments and disciplines should be strengthened to enhance synergy in efficient resource utilization and ecological production, providing solid scientific and human resource support for high-quality agricultural development.
References
China News. (May 14, 2024). XI Jinping: Establish a “Big Food Concept” and build a diversified food supply system. (in Chinese), http://www.chinanews.com.cn/gn/2024/05-14/10216684.shtml
Xinhua News. (March 20, 2024). XI Jinping presided over a symposium on promoting the rise of central China in the new era and stressedmaking solid efforts to advance the rise of central China from a new starting point. (in Chinese), https://www.gov.cn/yaowen/liebiao/202403/content_6940500.htm
Xinhua News. (May 20, 2025). XI Jinping emphasizes confidence in high-quality development during Henan inspection. (in Chinese), http://www.gov.cn/yaowen/liebiao/202505/content_7024510.htm
————————
* Corresponding author. Email: hbchs@isa.ac.cn (CHEN H.)
1 CHEN Hongsong, researcher at the Institute of Subtropical Agriculture, Chinese Academy of Sciences, focuses on soil physics and eco-hydrology. His key achievements include soil and water conservation, hydrological processes and modeling, and plant water adaptation mechanism in karst areas. He is a recipient of the National Science and Technology Progress Award (Second Prize), the Guangxi Science and Technology Progress Award (First Prize), in recognition of his innovative contributions to karst eco-hydrological processes and Simulations.
2 Both map (a) and (b) are based on standard maps downloaded from the Standard Map Service website of the Chinese Ministry of Natural Resources, with no modification to the base maps. Approval numbers: GS(2016)2937 for (a), GS(2021)6952 for (b).
3 This map is based on a standard map (approval number GS(2021)6952) downloaded from the Standard Map Service website of the Chinese Ministry of Natural Resources, selecting provinces within subtropical region of China with no modification to the base map.
4 The data were extracted from the China Statistical Yearbook 2024 and the China Statistical Yearbook 1999.

